1. Write 0.000078 in scientific notation.
A. 7.8 x 10-5
B. 7.8 x 10-4
C. 7.8 x 10-3
D. 7.8 x 104
E. 7.8 x 105
2. Multiply. Write the answer in exponential form.
46 . 43
A. 42
B. 48
C. 49
D. 412
E. 418
3. Simplify the expression.

4. Simplify the expression.
![]()
A. x-6
B. x-2
C. x2
D. x6
E. x8
5. Write 8,000,000 in scientific notation.
A. 8 x 104
B. 8 x 105
C. 8 x 106
D. 80 x 104
E. 80 x 105
6. Divide.
![]()
A. 2y2
B. 2y9
C. 8y2
D.8y9
E. 8y18
7. Write in standard notation.
2.84 x 104
A. 0.000284
B. 0.00284
C. 2.840000
D. 2,840
E. 28,400
8. Simplify the expression.
![]()
A. a-12
B. a-7
C. a
D. a7
E. a12
9. Simplify the expression.
![]()
A. 3x7
B. 3x12
C. 9x7
D. 9x12
E. 27x12
10. Divide.
12a8 / 3a2
A. 3a4
B. 3a6
C. 4a4
D. 4a6
E. 9a4
Answer Key
1. A. Scientific notation is a way of conveniently writing numbers that are either very large or very small. A number written in scientific notation has two parts as shown below: a number a that is between 1 and 10 (excluding 10) and a power of ten.
a x 10b
Examine the given number. For a, use the first digits that are not zero and place the decimal after the first digit. The value of a is 7.8.
Next find the exponent. Since 0.000078 is a very small number, the exponent will be negative. Count the number of places you need to move the decimal point from its original place until it is between the 7 and the 8. Since you move the decimal point five places, the exponent will be -5. Therefore, the correct answer is 7.8 x 10-5.
2. C. To multiply the exponential terms, use the product rule, xa . xb = xa+b . Since the bases of the factors are the same, multiply them by adding the exponents.
![]()
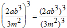
3. E. This expression can be simplified by using exponent rules. First distribute the exponent (the 3 outside the parentheses) over the numerator and denominator in the fraction.

Next, there are two exponent rules that you can use to simplify the expression further: (1) you can distribute the exponents over each factor in the numerator and the denominator, and (2) you can use the power rule, (xa)b = xa.b. Keep in mind that the a in the numerator is equivalent to a1 because anything to the first power is itself.
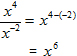
4. D. To divide the exponential terms, use the quotient rule,
. Since the bases of the factors are the same, divide them by subtracting the exponents. Remember that subtracting a negative number is the same as adding its absolute value (the positive version).

5. C. Scientific notation is a way of conveniently writing numbers that are either very large or very small. A number written in scientific notation has two parts as shown below: a number a that is between 1 and 10 (excluding 10) and a power of ten.
a x 10b
Examine the given number. For a, use the first digits that are not zero and place the decimal after the first digit. The value of a is 8.0, or simply 8.
Next find the exponent. Since 8,000,000 is a very large number, the exponent will be positive. Count the number of places the decimal point must move from its original place until it is between the 8 and the first 0. Since the decimal point moves six places, the exponent becomes 6. Therefore, the correct answer is 8 x 106.
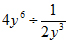
6. D. To divide by a fraction, invert the fraction by switching the numerator and denominator.
![]()
Now multiply normally. Multiply the coefficients and variables separately. To multiply the variables, use the power rule, (xa)b = xa.b.
![]()
7. E. Standard notation is the normal way of writing numbers in decimal form. The given number is written in scientific notation. It has two parts: a decimal number and an exponential term. To convert it to standard notation, move the decimal. Since the exponent is positive 4, move the decimal four places to the right. Add zeros to the end as needed.
![]()
8. E. This expression can be simplified by using two exponent rules. First apply the power rule, (xa)b = xa.b .
![]()
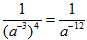
By definition,
. In this case, the negative exponent in the denominator can be simplified by changing it to a positive exponent and moving it to the numerator.
![]()
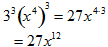
9. E. There are two exponent rules that you can use to simplify the expression further. First distribute the exponents over each factor in the parentheses
![]()
Next simplify each factor. Calculate the value of 33 and use the power rule, (xa)b = xa.b, to simplify the variable factor.
![]()
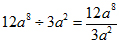
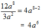
10. D. Start by rewriting the problem as a fraction.
![]()
Next, simplify the fraction. Divide the coefficients and the exponential terms separately. To divide the exponential terms, use the quotient rule,
. Since the bases of the factors are the same, divide them by subtracting the exponents.
